Home Calculators Midpoint Endpoint

Midpoint & Endpoint Calculator

The midpoint is the point halfway between two endpoints, while an endpoint is one of the two points that define a line segment.

Calculator
Point1 ( , )
Mid Point ( , )
Point2 ( , )
Knowledge

What is a Midpoint?

Imagine you're standing at one end of a long, straight bridge, and your friend is at the other end. Now, if you both start walking towards each other at the same pace and meet right in the middle, you've found the midpoint of the bridge! Similarly, in geometry, a midpoint is the point that is exactly halfway between two endpoints on a line segment.
It doesn't matter how long the line is or where it is placed, the midpoint is always right there in the center, splitting the line segment into two equal halves.

Midpoint Formula

Given two points, A(X1, Y1) and B(X2, Y2) , midpoint M(Xm, Ym) can be calculated using the following formula:

Example

Find the midpoint of the line segment connecting the points A(1, 4) and B(5, 8).
Answer: (3,6)
Solution:

Understanding the Midpoint and Endpoint

When you have a line segment defined by its endpoints, the midpoint is the point that is equidistant from both endpoints. If you know one endpoint and the midpoint, you can find the other endpoint using the formula.

How to find the unknown Endpoint?

Given:
One endpoint of a line segment: A(X1,Y1)
The midpoint of the line segment: M(Xm,Ym)
Goal: Find the coordinates of the other endpoint: B(X2,Y2)
To find the unknown endpoint ( B(X2, Y2) ), we rearrange the midpoint formula. Here's how:

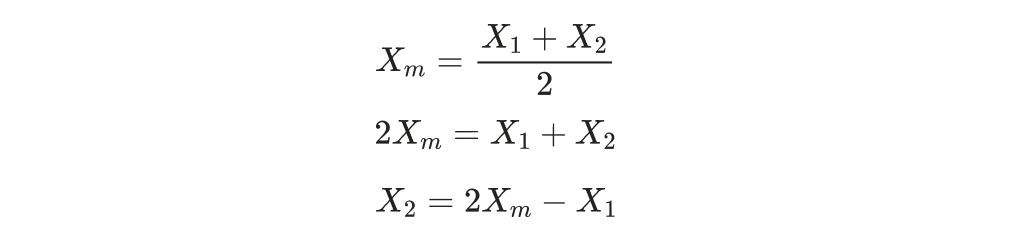
Midpoint formula give us two equations based on the x-coordinates and y-coordinates:

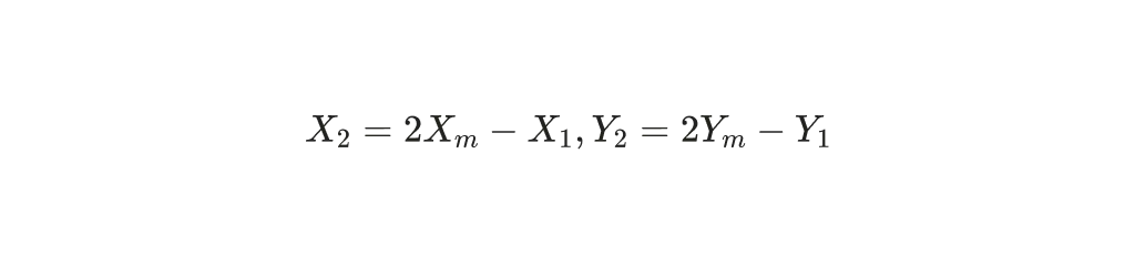
Solving for (X2) and (Y2):
Multiply both sides of the equation by 2 to isolate (X2) and (Y2)

From:

From:

So B(X2,Y2) =

Select method
Select the method you prefer to be personalized for you.
I'm not sure
Try Premium now!
Upgrade to Premium and explore the full power of UpStudy!
Maybe later Go Premium
Study can be a real struggle
Why not UpStudy it?
Select your plan below
Premium

You can enjoy

Start now
  • Step-by-step explanations
  • 24/7 expert live tutors
  • Unlimited number of questions
  • No interruptions
  • Full access to Answer and Solution
  • Full Access to PDF Chat, UpStudy Chat, Browsing Chat
Basic

Totally free but limited

  • Limited Solution
Welcome to UpStudy!
Please sign in to continue the Thoth AI Chat journey
Continue with Email
By clicking “Sign in”, you agree to our Terms of Use & Privacy Policy